안녕하세요 늑대양입니다 :)
오늘까지 파이썬 기반 코딩테스트를 학습합니다!! 🤓
내일부터 본격적으로 ML 학습을 진행합니다!! 🥸
[AI 데이터 사이언티스트 취업 완성 과정]의 43일차 일과를 정리하여 안내해드리도록 하겠습니다.

Day 43 시간표:
- 코딩테스트 실전 - 문제풀이
- 코딩테스트 실전 - 문제풀이 (실강)
- 코딩테스트 실전 - 문제풀이
코딩테스트 실전 - 이론
그래프
- 그래프는 G(V, E)로 정의하고, V(Vertext : 정점)과 E(Edge : 간선) 의 집합을 의미한다.
- 연결되어 있는 원소들간의 관계를 표현하는 자료구조이다.
인접행렬
- 배열을 이용해 그래프를 표현하는 방법
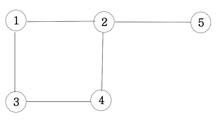
1. 무방향 그래프

입력 형식:
edge = [[1, 2], [1, 3], [2, 4], [2, 5], [3, 4]]
graph = [[0]*(n+1) for _ in range(n+1)]
for a, b in edge:
graph[a][b] = 1
graph[b][a] = 1

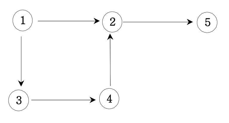
2. 방향 그래프

입력 형식:
edge = [[1, 2], [1, 3], [2, 5], [3, 4], [4, 2]]

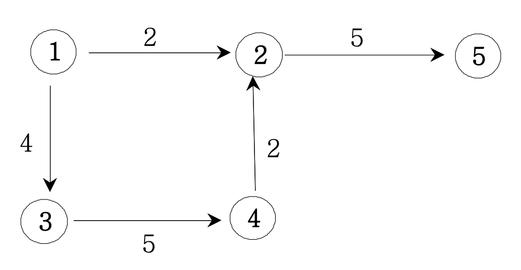
3. 가중치 방향 그래프

입력형식:
edge = [[1, 2, 2], [1, 3, 4], [2, 5, 5], [3, 4, 5], [4, 2, 2]]
graph = [[0]*(n+1) for _ in range(n+1)]
for a, b, c in edge:
graph[a][b] = c

인접 리스트

edges = [[0, 1], [0, 2], [1, 2], [2, 3], [2, 5], [3, 4], [3, 5]]
graph = [[]] for _ in rane(6)]
for a, b in edges:
graph[a].append(b)
graph[b].append[a]
[
[1, 2],
[0, 2],
[0, 1, 3, 5],
[2, 4, 5],
[3],
[2, 3]
]
1. 무방향 그래프

입력형식:
edge = [[1, 2], [1, 3], [2, 4], [2, 5], [3, 4]]

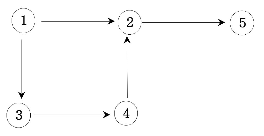
2. 방향 그래프

입력형식 :
edge = [[1, 2], [1, 3], [2, 5], [3, 4], [4, 2]]

3. 가중치 방향 그래프

입력형식:
edge = [[1, 2, 2], [1, 3, 4], [2, 5, 5], [3, 4, 5], [4, 2, 2]]
graph = [[] for _ in range(n+1)]
for a, b, c in edge:
graph[a].append((b, c))

예제
재귀함수
def DFS(n):
if n == 0:
return
else:
# print(n)
DFS(n-1)
print(n, end= " ")
DFS(3)
>1 2 3 %
중복순열



def DFS(L, n, k, p):
if L == k:
for x in p:
print(x, end = " ")
print()
else:
for i in range(1, n+1):
p.append(i)
DFS(L+1, n, k, p)
p.pop()
print(DFS(0, 3, 2, []))
>1 1
1 2
1 3
2 1
2 2
2 3
3 1
3 2
3 3
None
경로 탐색(인접행렬)
answer = 0
path = []
def DFS(v, n, ch, graph):
global answer
if v == n:
answer += 1
print(path)
else:
for i in range(1, n+1):
if graph[v][i] == 1 and ch[i] == 0:
ch[i] = 1
path.append(i)
DFS(i, n, ch, graph)
ch[i] = 0
path.pop()
def solution(n, edge):
global answer
graph = [[0] * (n+1) for _ in range(n+1)]
for a, b in edge:
graph[a][b] = 1
ch = [0] * (n+1)
ch[1] = 1
path.append(1)
DFS(1, n, ch, graph)
return answer
print(solution(5, [[1, 2], [1, 3], [1, 4], [2, 1], [2, 3], [2, 5], [3, 4], [4, 2], [4, 5]]))
>[1, 2, 3, 4, 5]
[1, 2, 5]
[1, 3, 4, 2, 5]
[1, 3, 4, 5]
[1, 4, 2, 5]
[1, 4, 5]
6
경로 탐색(인접 리스트)
answer = 0
path = []
def DFS(v, n, ch, graph):
global answer
if v == n:
answer += 1
# print(path)
else:
for nv in graph[v]:
if ch[nv] == 0:
ch[nv] = 1
path.append(nv)
DFS(nv, n, ch, graph)
ch[nv] = 0
path.pop()
def solution(n, edge):
global answer
graph = [[] for _ in range(n+1)]
for a, b in edge:
graph[a].append(b)
ch = [0] * (n+1)
ch[1] = 1
path.append(1)
DFS(1, n, ch, graph)
return answer
print(solution(5, [[1, 2], [1, 3], [1, 4], [2, 1], [2, 3], [2, 5], [3, 4], [4, 2], [4, 5]]))
>6
컴퓨터
cnt = 0
def DFS(v, n, ch, graph):
global cnt
cnt += 1
for nv in graph[v]:
if ch[nv] == 0:
ch[nv] = 1
DFS(nv, n, ch, graph)
def solution(n, edge):
global cnt
graph = [[] for _ in range(n+1)]
for a, b in edge:
graph[a].append(b)
graph[b].append(a)
ch = [0] * (n+1)
ch[1] = 1
DFS(1, n, ch, graph)
return n - cnt
print(solution(11, [[1, 2], [1, 4], [2, 3], [4, 5], [5, 6], [7, 8], [7, 10], [8, 9], [10, 11]]))
>5

긴 글 읽어주셔서 감사합니다 :)
'AI > [부트캠프] 데이터 사이언티스트 과정' 카테고리의 다른 글
| [Megabyte School : AI 데이터 사이언티스트 취업 완성 과정] Day 45. (0) | 2022.10.27 |
|---|---|
| [Megabyte School : AI 데이터 사이언티스트 취업 완성 과정] Day 44. (2) | 2022.10.26 |
| [Megabyte School : AI 데이터 사이언티스트 취업 완성 과정] Day 42. (0) | 2022.10.24 |
| [Megabyte School : AI 데이터 사이언티스트 취업 완성 과정] Day 41. (0) | 2022.10.21 |
| [Megabyte School : AI 데이터 사이언티스트 취업 완성 과정] Day 40. (0) | 2022.10.20 |